本研究利用定制的低场核磁共振测试,研究了湿度循环环境下不同程度受损盐岩的水分渗吸行为及其对空隙结构的影响。本文还对离心试样和饱和试样一并进行了测试,以辅助分析。盐岩中的流体可及空隙包括介观空隙(2-50 nm)和宏观空隙(>50 nm)。在首个周期的潮湿阶段,介观空隙的渗吸落后于宏观空隙,而在随后的干燥阶段,介观空隙的失水比宏观空隙更明显、更迅速。在长期的处理过程中,渗吸持续存在,并且所有试样的宏观空隙体积都明显减小,而介观空隙的体积则略有增加。据推断,介观空隙中较大的粘滞力阻碍了其渗吸和水分的补充,导致了首个周期中测试结果的差异。卤水的持续渗吸激活了宏观空隙中的两种自修复机制:扩散传质和重结晶,从而将连续的大裂缝转化为充满重结晶微结构的孤立空隙,有效地将宏观空隙转化为介观空隙。总之,本研究描述了盐岩在湿度循环下受自愈机制影响的复杂渗吸行为和空隙结构演化,为评估压气蓄能盐穴的长期稳定性和完整性提供了新见解。

图1 来自Khewra矿的(a)白色、(b)橙色和(c)红色盐岩
选定的岩石被线切割成尺寸为15×15×45毫米的立方试样,以适合核磁共振仪器的一英寸直径的线圈。
如图3a所示,使用岩石力学试验机施加单轴压缩。如图2所示,选择了一组较长的平面与加载板接触。使用应变传感器测量轴向应变。

图2 每个岩石样本平面的实验功能

图3 本研究中提到的实验装置
在 0.3 毫米/分钟的位移控制下,首先将三个试样压缩至破坏,以获得其平均单轴抗压强度(UCS)和应力-应变曲线。
核磁共振测试是在低磁场1H NMR 仪器(MacroMR12-150H-I NMR;China, Niumag)上进行的,如图 3d 所示,其磁场强度为 0.3 T,线圈工作频率为 12 MHz。


图5 每个样本的实验方案
在湿度循环之前,对所有六个试样都进行了核磁共振测试。这些结果将作为基底,被随后的结果所减去,由此消除材料内闭合空隙等原生信号源的影响。
各试样的具体测试方案见图5。在第一个周期中,三个实验试样每小时进行一次测试,以监测水分在不同裂纹水平下的迁移动态。第一个周期结束后,对试样C-1和C-2分别进行干燥和饱和处理,以进行核磁共振测试。
实验试样随后每隔六个周期(48小时)进行一次测试。试样S-1和S-3再次进行真空饱和与核磁共振测试。

图6 样本C-3离心前后的T2谱图
试样C-3在离心前后的核磁共振测试结果如图6所示。饱和试样测得的两个信号峰对应的T2值分别约为0.08和1600。离心2小时后,试样的累积信号强度从2467降至1689。

图7 样本S-1(a)、S-2(b)和S-3(c)在第一个湿度循环期间的T2谱图
图 7显示了三个实验试样在第一个周期的每小时核磁共振测试结果。在未损坏的试样 S-1 中,T2谱显示存在三个明显的峰。这三个峰的强度最大值分别对应0.04、5.35 和 174.26 ms的T2值。根据离心测试,我们将左峰归于结合水和介孔中的水。中间和右侧的峰分别源于较小和较大的宏观空隙中所存在得自由水。在 4 小时的潮湿阶段,中峰迅速上升,达到极值23.0,两小时后下降。其它两个峰在整个阶段都呈现出逐渐上升的趋势。过渡到干燥阶段后,所有三个峰都有所下降。
第一个周期的结果总结有四个显著特点:
1. 未损坏的试样显示出三个明显的峰值,其中两个来自宏观空隙中的自由水。而两个损坏的试样没有出现中间峰值。
2.随着应变增加到5.70%,右峰继续右移,即转向更高的松弛时间,从148.20 ms增加到1500 ms。同时,所有三个试样的左侧峰值始终保持在约0.05 ms的弛豫时间。
3.在潮湿阶段,右峰持续上升,在四个小时内达到最大值。而左峰出现了延迟上升。
4.在干燥阶段,左侧峰值最初仍保有上升趋势,但在随后的两小时内迅速减小至零。相反,右峰则是持续、缓慢地下降,直到周期结束时,仍保留了可测量的信号。

图8 长期湿度循环过程中样本S-1(a)、S-2(b)和S-3(c)的T2谱图

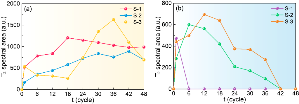
图9 三个实验样本左侧(a)和右侧(b)峰的累积T2谱图面积
图9显示了三个实验试样在六个周期,时间为48小时的间隔,所进行的9次核磁共振测试结果,一同展示的还有第一个周期结束后的结果。不过,测得的T2谱在形状和高度上都有变化。为了直观地显示试样中的含水量,绘制了左右两个峰的谱面积变化图,如图9所示。
长期核磁共振测试的T2谱具有以下几个显著特征:
1.虽然三个试样的左峰所对应的T2值保持一致,但其形状存在细微差别。相反,未损坏试样的右峰在六个周期后不再出现。受损的试样的右峰则表现出相似的形状和明显的继续右移趋势,最终在实验结束前消失。
2.三个试样的峰面积呈现出类似的先增后减规律。不过,左峰的变化滞后于右峰的变化。
3.大多数情况下,试样的右峰面积小于左峰。

图10 (a)未损坏试样和(b)应变为5.70%的试样在四种情况下的核磁共振结果,包括第1个循环和第48个循环的湿润阶段之后、第1个循环的饱和结果(由试样C-1和C-2测试)和第48个循环之后的饱和结果(由试样S-1和S-3测试)。
图10显示了在相同损伤程度下,实验试样在第1个和第48个循环中的T2谱与饱和结果的对比。由于水饱和状态将不可逆转地改变试样的空隙结构和内部水分分布。饱和核磁共振测试仅在实验试样结束全程湿度循环过程后进行,以防止上述影响干扰监测。试样C-1和试样C-3分别与S-1及S-3具有一致的损坏程度,但未经过湿度循环,其饱和后的结果能反映这两种损伤程度的盐岩的原始空隙分布。虽然饱和测试是在两组不同的试样上进行,其空隙结构的离散性将潜在影响测试结果,但整体的结果差异有助于后续研究。
通过一系列核磁共振测试,确定了受损盐岩在循环潮湿环境中的渗吸行为特征,以及该行为对岩石内部空隙结构演变的影响:水分渗吸显著加速了盐岩的自愈合效应,使内部宏观空隙在几周内被填充、分割,转化为介观空隙。由此受损盐岩的结构完整性得到了显著恢复。据此推测,腔周盐岩的工程特性将得到改善,包括抗渗性和力学强度。渗吸的水分还能通过表面张力增加岩体材料的内聚力62。因此,我们的研究表明,循环湿度环境可加速周围盐岩的自愈合机制,降低CAES盐穴运行过程中发生于腔周EDZ的气体泄漏、洞穴坍塌和其它工程地质事故的可能性。
用于压缩空气储能(CAES)的盐穴每日都会受到湿度循环的影响。要评估CAES盐穴的密封性和稳定性,就必须确定受损盐岩在这种湿度环境中的渗吸情况及其对内部空隙结构的影响。在这项研究中,对受到初步损坏的盐岩进行了湿度循环。我们的方法包括使用低场核磁共振来研究水分迁移和空隙结构演变。主要发现总结如下:
1.盐岩中存在流体可及的空隙,分别是纳米级介观空隙和微米级宏观空隙。宏观空隙的尺度和体积随着损伤程度的增加而增大。
2.在第一个循环的潮湿阶段,两种空隙的含水量都因吸水而呈上升趋势。然而,宏观空隙持续吸湿,而介观空隙的吸湿存在延迟。在干燥阶段开始时,介观空隙体中的水分迅速下降至不可测,而宏观空隙的脱水速度相对较慢。
3.至少在最初的12个周期中,试样一直处于渗吸状态。尽管总体积缩小了,但在处理过程中,宏观空隙的平均尺寸却逐渐增大了。实验结束前,所有三个试样中的宏观空隙都被广泛填充、隔离,转化为介观空隙,最终降低了试样的空隙率。
4.卤水在介观空隙中相对较高的粘滞力被认为会减缓湿润阶段的渗吸和干燥阶段向气液界面补充卤水的速度。这些限制解释了介观空隙中出现的渗吸和脱水滞后现象。

大口径核磁共振成像分析仪MacroMR12-150H-I
[1] Xu C, Xie R, Guo J,et al. Comprehensive characterization of petrophysical properties in shale by solvent extraction experiments and 2D NMR[J].Fuel, 2023, 335:127070-.
 电话客服
电话客服
电话:400-060-3233
售后:400-060-3233
 微信客服
微信客服
 
 公众号
公众号
 
返回顶部